• Przypominam, że dalej nasza forumowa mama potrzebuje Twojej pomocy 💖 Jeśli możesz wpłacić nawet drobną kwotę, to prosimy zrób to Kliknij

reklama

Październikowe mamy 2024

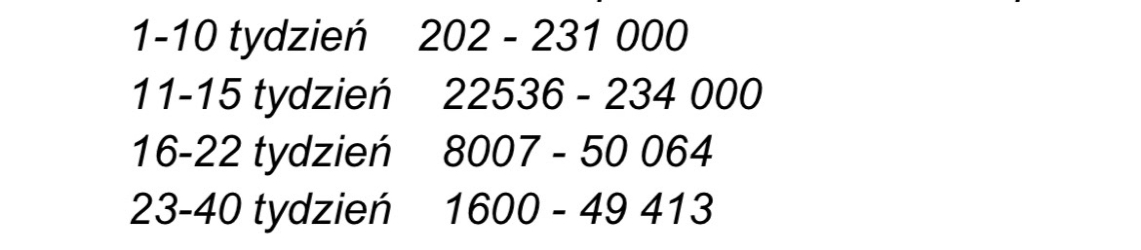
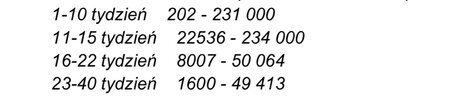
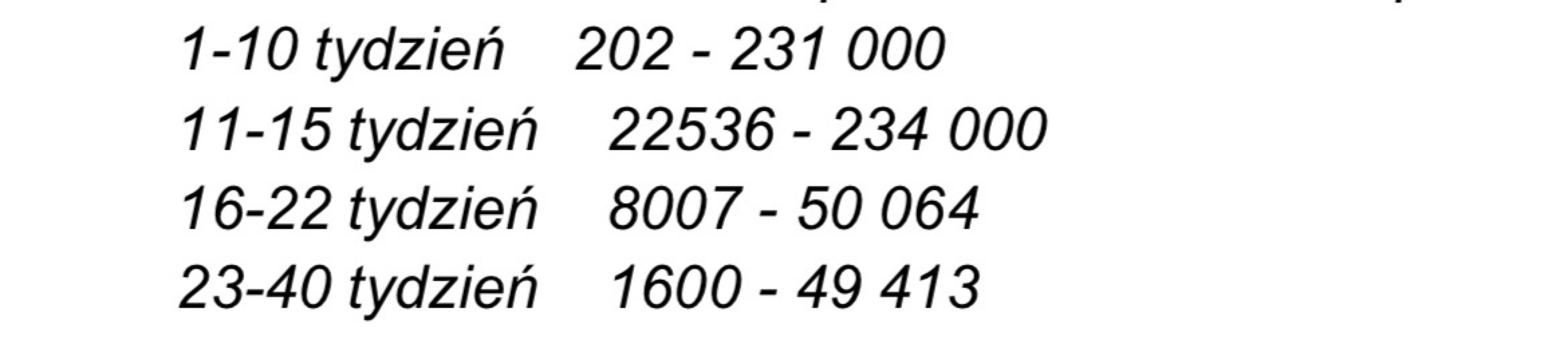
A ja mam do was jeszcze jedno pytanie , bo nie może mi to dać spokoju. Jak dowiedziałam się , ze jestem w ciąży zrobiłam betę wynosiła 13787 . Ja na 100% nie byłam w ciąży starszej niż 5 tydzień , bo nie miałam możliwości wcześniej zajść . Nie sprawdzałam przyrostu ale zastanawia mnie czy beta która jest q granicach od 7 tyg to normalne ? Czy w ogóle się tym nie przejmować ?
Tygodni ciąży nie liczy się na podstawie wyników bety. Ja miałam w poprzedniej ciąży 13000 jakoś w 5+2. Teraz miałam tyle nawet wcześniej.
 
reklama

Załączniki

  • IMG_2659.jpeg
    IMG_2659.jpeg
    223,6 KB · Wyświetleń: 76
Mam tak samo 😂 zjem troszkę mi niedobrze po kazdym jedzeniu ale zaraz nadal głodna xD
Miałam tak samo w pierwszej ciąży. Ciągle musiałam coś mielić w buzi bo inaczej pojawiały się mdłości. Do pracy nosiłam torbę jedzenia. W ciągu pierwszego trymestru zjadłam pewnie ze 100kg migdałów…

Pytałam codziennie męża ile jeszcze muszę wytrwać do końca 1trymestu, uczepiłam się tej daty psychicznie… a trzymało mi się to do 15-16tyg. Aż pewnego dnia zjadlam pieczone pierogi. I po jakimś czasie zauważyłam, że nie jest mi niedobrze, nie czuję głodu, nie muszę jeść migdałów i się rozpłakałam ;D takie to było szczęście ;D

Teraz, poza tym, że mam takie pobolewanie na okres, to nie mam absolutnie żadnych niedogodności i oby tak zostało!!! Niestety cycki stoją w miejscu… a to akurat mogło by urosnąć ;D
 
reklama

Nowe wątki

reklama
reklama
Wróć
Do góry